Continuing with the series on Supply Chain Management, this post will dive deep into Demand Forecasting. I’ll cover the following topics:
- What is Demand Management?
- What is Demand Forecasting?
- Forecasting Horizons
- Forecasting Methods
- Time Series Analysis
- Exponential Smoothing
- Causal Analysis (Regression)
- Croston’s Method (Sparse Demand)
- New Product Introductions
- Forecasting Quality
Let’s begin..
—
What is Demand Management?
A simple definition is the following:
“Demand management is a planning methodology used to forecast, plan for and manage the demand for products and services.” – Wikipedia
The purpose of demand management is ultimately to enable the organization to sell their desired goods and services, in the right quantities at the right time.
Demand Management can be broken down into three core processes: Planning, Forecasting, and Management.
In today’s post, we will explore Demand Forecasting in detail…
—
What is Demand Forecasting?
Demand forecasting is the prediction of future demand for a product or service. It is a continuous process, that takes as inputs historical performance and events, as well future plans and upcoming trends.
Forecasting Horizons
Demand Forecasting is done at multiple levels, each with a different timeline and purpose.
1) Strategic forecasts are used for long-term (years, annual) forecasts; usually related to the organization’s goals and strategic plans. For example:
- Business Planning
- Capacity Planning
- Investment Strategies
2) Tactical forecasts are used for mid-term (quarterly, monthly, weekly) forecasts; usually related to departmental planning and execution. For example:
- Brand Plans
- Sales Plans
- Short-Term Budgeting
- Sales Planning
- Labor Planning
- Short-Term Capacity Planning
- Master Planning
- Inventory Planning
3) Operational forecasts are used for short-term (days/hours) forecasts; usually related to the management of business processes. For example:
- Transportation Planning
- Production Planning
- Inventory Deployment and Replenishment
The purpose of each of these levels is to support different hierarchies of decision making; starting at the Top-Level of Senior Management, down to the Bottom-Up staff operating and managing the business’s daily operations.
Forecasting Methods
Forecasting methods can be mainly divided into subjective and objective approaches.
Subjective approaches emphasize qualitative data; such as customer surveys, expert opinions, or sample data.
Objective approaches emphasize quantitative analysis; relying on the use of mathematical modelling with historical data sets.
Often both subjective and objective methods will be used in combination; making the most of quantitative data available paired with the perspectives of experts and customers.
The following visual showcases and groups common forecasting methods:
Let’s explore these methods in more detail…
—
Time Series Analysis
Time Series Analysis is a common forecasting technique used to identify and match patterns in historical data. Time series analysis techniques are most effective in mid-range forecasts with months worth of historical data.
What is a Time Series?
A time series is a set of data points indexed in time order. Time series usually measure and track a single variable at regular intervals over an extended period of time. A time series has the following components:
| Components | Definition | What it looks like? |
| Level | A constant, stable value at which demand fluctuates. | Source: CTL.SC1x – Supply Chain and Logistics Fundamentals |
| Trend | A rate of growth or decline in one direction. | Source: CTL.SC1x – Supply Chain and Logistics Fundamentals |
| Seasonal Variations | A repeated cycle around a known and fixed period | Source: CTL.SC1x – Supply Chain and Logistics Fundamentals |
| Random Fluctuation | An irregular and unpredictable variation, not captured in the other components. |
Time Series Notation
In order to understand time series models, we must first understand the common notation:
| Variable | Definition |
| Xt | Actual demand in period t |
| Xt, t+1 | Forecast for time t+1 made during time t |
| a | Level Component |
| b | Trend component |
| Ft | Multiplicative seasonal index appropriate for period t |
| P | Number of time periods within the seasonality (note: i=1pFi = P) |
| et | Error for observation t, et = At – Ft |
| t | Time period (0, 1, 2,…, n) |
| Xt | Xt = a + et (Level) |
| Xt | Xt = a +bt + et (Trend) |
| Xt | Xt = aFt + et (Level-Seasonality) |
| Xt | Xt = (a+bt) * Ft + et (Level-trend-seasonality) |
| α | Exponential smoothing factor for level (0 ≤ α ≤ 1) |
| β | Exponential smoothing factor for trend (0 ≤ β ≤ 1) |
| γ | Exponential smoothing factor for seasonality (0 ≤ γ ≤ 1) |
| φ | Exponential smoothing factor for dampening (0 ≤ φ ≤ 1) |
| ω | Mean Square Error trending factor (0.01 ≤ ω ≤ 0.1) |
These variables will be useful in the upcoming forecast models…
Time Series Models (Stationary Demand)
Common models used for time series analysis where demand is level:
|
Model |
How it Works |
Equations |
| Cumulative | Considers and includes all past data in the future prediction. | ![]() |
| Naive | Considers only the latest data point for future prediction. | ![]() |
| Moving Average | Considers a continuous range of recent data points for future prediction. | ![]() |
These models are particularly easy to implement given that they ignore underlying trends in the data and apply equal weighting too all data points. They differ in the quantity of past data used to consider the future prediction.
—
Exponential Smoothing
Exponential Smoothing Models
Exponential smoothing models use smoothing parameters to weight different points according to the newness of the information. These models are useful for smoothing out or dampening the effects of trends and recent information.
Common exponential smoothing models include:
| Model | How it Works | Equations |
|
Exponential Smoothing (level) |
Assumes level or stationary demand. Smooths ‘new’ data. | ![]() |
|
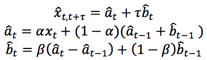
Exponential Smoothing (level, trend) |
“Holt’s Method.” Assumes a level and linear trend. |
![]() |
|
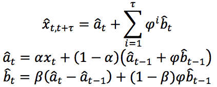
Damped Exponential Smoothing (level, trend) |
Uses the φ to dampen the effect of a linear trend over time. | ![]() |
|
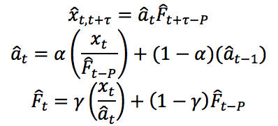
Double Exponential Smoothing (level, seasonality) |
Assumes a level and seasonality. | ![]() |
|
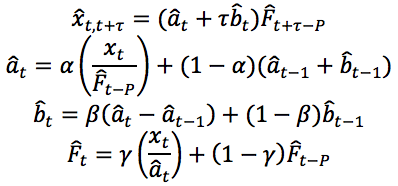
Exponential Smoothing (level, trend, seasonality) |
“Holt-Winter Method” Assumes a linear trend with a multiplicative seasonality effect over both level and trend. |
![]() |
These models may look complicated in their equations; but they are easy enough to implement in excel or google sheet models. Each of them aims to help you predict the future demand at a specific period in time; while continuously updating the time series components (level, trend, seasonality, etc.)
—
Exponential Smoothing (Example)
The following is an example of a demand problem that has level, trend, and seasonality, and is solved using the Holt-Winter Exponential Smoothing model. Here’s how to solve it:
Step #1: Estimate the Seasonality indices F(i).
- Find a level estimate for a common season period. ⇒ Use a moving average.
- Set initial F(i) to the ratio of the demand period over the season demand.
- Find the average F(i) seasonal index for all similar periods.
- Normalize the F(i) seasonality indices.
Step #2: Estimate the trend a^(t) and level b^(t).
- Associate each demand period to its corresponding seasonality index F(i).
- De-Season the demand by dividing the demand x(t) by the seasonality index F(t).
- Use a linear least squares regression to estimate the trend a^(0) and level b^(0) of the unseasoned demand.
Step #3: Use the Initial Estimate Parameters and Holt-Winter Model to Estimate Demand
- Add in the parameters of the starting period
- x(0) =unseasoned demand
- a^(0) = level estimate
- b^(0) = trend estimate
- F(1…7) = seasonality indices.
- Input the model equations to forecast the demand of the desired future.
Click here to see the models used for Parameter Initialization and for the Forecasting Model.
Note: This file is no longer shared publicly.
—
Causal Analysis
What if demand is affected by external factors?
Causal Analysis is a forecasting technique used to underlying relationships between different variables. Causal models are useful for demand forecasting when demand is correlated with a known and measurable factor. For example, you might believe that demand for a retail item is higher when there is a promotion. You might also believe that demand for umbrellas is higher during rainy season.
With causal analysis, your aim is to build a linear predictive equation out of previously observed data that helps model the relationship between these various factors.
One of the most common forms of causal analysis is linear regression. Linear regression can be used to find correlations between a single dependent variable (Y) and one or more independent variables (x1, x2, …, xn). Linear regression estimates coefficients for each factor, by minimizing the sum of the squares of the errors in the estimation equation.
A regression equation takes the form of: Yi = β0 + β1Xi + ei for i = 1…n
When using causal models, you will want to assess the goodness of fit, adjusted R-squared, as well as the significance of the coefficients, upper and lower bounds, and p-value of the model.
Here’s an example of a regression model used to predict the productivity of a project team, as a function of the manager’s involvement and project type.
—
Croston’s Method (Sparse Demand)
What if historical demand is intermittent?
When demand is sparse or intermittent, we cannot use traditional time series forecasting techniques effectively. This is because you may not have sufficient historical data to base your forecast on. In these cases, a common technique you may use is Croston’s Method.
Croston’s Method is used for parts that are infrequently and irregularly. What Croston’s method does is that it only updates the forecast estimates when transactions occur. The following is an example of how it works.
—
New Product Introductions
What if it’s a new product?
You frequently hear about companies launching new products into the market; but you might never think about all of the planning and forecasting that occurs to ensure that sufficient quantities of the new product are made in anticipation of market demand. If too many items are produced, the company will incur high excess and disposal costs. If too few items are produced, then the company will miss the potential sales due to shortages and out of stocks.
When thinking about new product types, there are 6 major categories:
- Cost Reductions: reduced price version of an existing product for the existing market.
- Product Repositioning: applying an existing product/service to solve a different problem/need in a new market.
- Line Extensions: incremental innovations to complement existing product lines.
- Product Improvements: iterations on existing products in existing markets.
- New-to-Company: new market/category for the company.
- New-to-World: first of its kind, different from existing products, creates a new market.
It’s important to understand these new product types, in order to understand which is the most appropriate forecasting method to use in anticipating the demand. The more historical data of the product line or market demand, the more you can rely on quantitative forecasting models. The more uniqueness in the product technology or uncertainty in market demand, the more you should rely on scenario planning models and customer/market analysis. The following visual matches each product introduction case to its appropriate forecasting technique.
—
Forecasting Quality & Metrics
How do I know if my forecast is good?
In order to assess the quality of a forecast, you’ll want to evaluate the forecast using forecasting metrics. The notation is the following:
- A(t): Actual value for observation t
- F(t): Forecasted value for observation t
- e(t): Error for observation t, e(t) = A(t) – F(t)
- n: number of observations
Forecast quality can be assess in terms of its accuracy and bias.
- Accuracy refers to the precision of closeness between the forecasted and actual values
- Bias refers to the tendency to over or under predict the value
Common metrics that you want to measure include:

Here’s an example of how to calculate these:
—
Putting it all together
The goal of this post was to provide you with an in-depth view of Demand Forecasting and Modelling. It’s important to keep in mind that these models are decision-support tools. They are designed to support the human operator, rather than replace them. All of them begin with an understanding of external and internal factors, whether they be market dynamics, customer interest or upcoming sales and marketing initiatives. Then they apply some sort of quantitative approach to estimate demand for a future period.
The ultimate goal of Demand Forecasting is to help you have the right amount of inventory (products or services) needed to fulfill upcoming demand.
—
That’s it for now! Cheers till next time!


Source: CTL.SC1x – Supply Chain and Logistics Fundamentals
Source: CTL.SC1x – Supply Chain and Logistics Fundamentals
Source: CTL.SC1x – Supply Chain and Logistics Fundamentals




















Hello! I have been working with the Croston method but I have many doubts and I do not know if you can help me!
In the example that you present, consider in the first observation, n ^ (t) = 3 … Why?
My question is, how can I start the variables Z (t) and n (t) in the first observations …
The method says that if demand at period t is = 0 then z ^ (t) = z ^ (t-1) and n ^ (t) = n ^ (t-1), but how do we do at the first observation? as we start the variables Z (t) and n (t), if it is the first period I do not have the previous value, you know?
I do not know if my question is stupid, I have researched a lot but I do not find much information, I hope you can help me!
Sorry for missing the response on my end. If you still have questions, I’d be happy to help. Regardless, thank you for reading the post!
@apicardami, I still have the same doubt that the user Andreia Carraca published? Could you explain?
I believe that the values of 100 and 3 for z^t and n^t for the first period pieces of information based on historical records that have been assumed. Please let me know in case this is not correct.
Thanks for this post. I had great use of this introducing some of my colleagues to demand planning and forecasting.